👁️ ... visits

The growth of magnetic energy during the nonlinear phase of the subsonic and supersonic small-scale dynamo

Sep 15, 2025·
Neco Kriel
James R. Beattie
James R. Beattie
,
Mark R. Krumholz
,
Jennifer Schober
,
Patrick J. Armstrong
· 0 min read
The nonlinear turbulent dynamo grows secularly!
Abstract
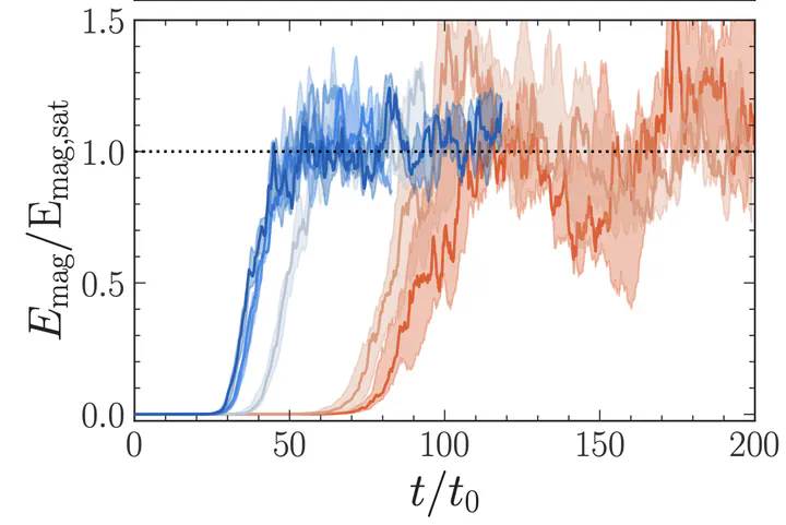
Small-scale dynamos (SSDs) amplify magnetic fields in turbulent plasmas. Theory predicts nonlinear magnetic energy growth Emag∝tpnl, but this scaling has not been tested across flow regimes. Using a large ensemble of SSD simulations spanning sub- to supersonic turbulence, we find linear growth (pnl=1) in subsonic flows and quadratic growth (pnl=2) in supersonic flows. In all cases, we find a dynamo efficiency of ∼1/100 and a duration Δt≈20t0, with t0 the turnover time, establishing the universal timescales and efficiencies of the nonlinear SSD across astrophysical and laboratory plasmas.
Type